mamesnova177.ru
mamesnova177.ru

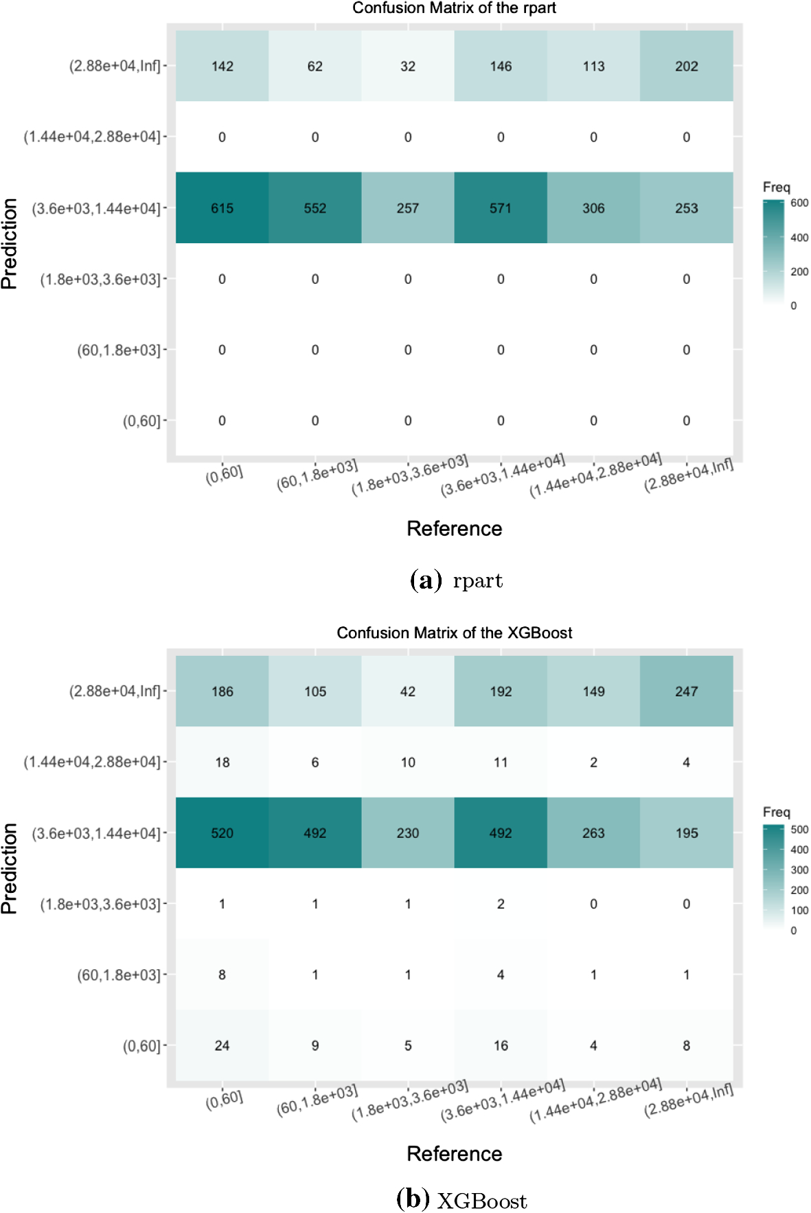
1.44 e 04 (98) 사진

SP Exp 01: Determining Liquid Diffusion Coefficient of NaCl - Studocu

PDF) Supplemental Information 4

Supplementary Table 4. Trend analysis-species

Thabo - Kante CEDA ga e kgonne go nkadima 500 000 e be ke dira 2odds , nka  busa they money in 1 day kana😂😂😂 | Facebook

Numerical Investigation of Sweep Angle Effect on the Supersonic Flows  through Corners | Journal of Aerospace Engineering | Vol 30, No 4

Application of DFEM in Sintering Distortion Analysis of Oxide–Oxide Ceramic  Matrix Composite: Digital Twin

Scaling Up AND/OR Abstraction Sampling

Frontiers | Genotype and clinical characteristics of patients with Wolfram  syndrome and WFS1-related disorders

Data sampling strategy and model save/restore · Issue #57 · lululxvi/deepxde

跳台滑雪助滑阶段计算流体动力学模拟及优化

Selecting a Spectrum of Light to Reduce risk to Museum Collections

A Sensitive and Cost-Effective LC–MS Method for Quantifying  N-Nitroso-Atenolol in Drug Formulation | Waters

Not showing correct current density for case II:

PDF] Effective Dose of Positioning Scans for Five CBCT Devices | Semantic  Scholar

Disappearing Inventory? : r/IdlePlanetMiner

Table 4, supplementary materials: metabolite graph statistics on Young  dataset.

Whole-exome sequencing reveals damaging gene variants associated with  hypoalphalipoproteinemia - Journal of Lipid Research

60.gif

241.gif

GENERAL INFORMATION Environmental Product Declaration (EPD) for Cement

1.0 EXECUTIVE SUMMARY On March 17 & 18, 2020, The Stack Test Group, Inc.  performed volatile organic compound (VOC) removal e

Application of NASTRAN finite element analysis and experimental test on  loading machine structure strength analysis

Regulatory Roles of Long Noncoding RNAs in Arterial Stiffness and  Hypertension | Hypertension

Figure 4.1 from KENTRACK 4.0: A Railway Trackbed Structural Design Program  | Semantic Scholar

Frontiers | Cerebral Low-Molecular Metabolites Influenced by Intestinal  Microbiota: A Pilot Study

WO2018185709A1 - Compositions for reprogramming cells into dendritic cells  or antigen presenting cells, methods and uses thereof - Google Patents

海水酸化池内部流场的数值模拟与实验研究

Investigation of the Three-Dimensional Hinge Moment Characteristics  Generated by the ONERA-M6 Wing with an Aileron - G. Q. Zhang, S. C. M. Yu,  A. Chien, 2013

Table F3-7 Point K

PHYSICAL AND NUMERICAL MODELLING OF A NON-STATIONARY STEEL FLOW THROUGH A  SUBENTRY SHROUD WITH AN INNER METERING NOZZLE

High‐dimensional Bayesian optimization for metamaterial design - Tian -  2024 - Materials Genome Engineering Advances - Wiley Online Library

Baofeng UV-5G Mini GMRS Radio | 5W | APP Programming | 1.44 Inch Color –  Radioddity

Untitled

Optimal Hovering Wing Kinematics of Flapping-Wing Model Using Reinforcement  Learning

Comparison between EDE and various classical DE methods on 10D problems. |  Download Table

Polyhedron‐Like Biomaterials for Innervated and Vascularized Bone  Regeneration - Zhang - 2023 - Advanced Materials - Wiley Online Library

Insp Rept 50-440/90-17 on 900709-13 & 25.No violations noted.Major areas  inspected:confirmatory measurements & radiologi

WO2020041537A1 - Anti-fc epsilon-r1 alpha (fcer1a) antibodies, bispecific  antigen-binding molecules that bind fcer1a and cd3, and uses thereof -  Google Patents

Lighting transformer, El-björn BT 348, 1.44KVA - PS Auction - We value the  future - Largest in net auctions

附件2 | PDF

Flow distribution property of the constructal distributor and heat transfer  intensification in a mini heat exchanger - Fan - 2008 - AIChE Journal -  Wiley Online Library

Iron status and the risk of sepsis and severe COVID-19: A two-sample  Mendelian randomization study

GLE Environmental Report - Section 4.12 - Public and Occupational Health,  Annual and Committed Dose Equivalents for Exposures to

Get data from a static simulation — PyDPF-Post

Correctness of Frequency Standards Accuracy Estimates[v1] | Preprints.org

Quantification of GS1 and GS2 C. concisus in enteric samples from... |  Download Table

VIKTOR.AI | Prespector MTBF - Update your failure rates easily

P-type doping of elemental bismuth with indium, gallium and tin: a novel  doping mechanism in solids - Energy & Environmental Science (RSC  Publishing) DOI:10.1039/C5EE01309G

2010 ANNUAL STACK TEST RESULTS

1.44e4 in Numbers (1.44e4 as a Decimal)

RS2 Tutorials | Joint Tutorial

Long-Read Transcriptome of Equine Bronchoalveolar Cells

Regional pathways for all-electric aircraft to reduce aviation sector  greenhouse gas emissions - ScienceDirect

DELL PE2800 1.44MB 3.5IN FDD INT SLIM (BLACK) T7421 -

The p-value of correlation coefficients MNC TRV Blair BNG CHN GOA HYD... |  Download Scientific Diagram

Parametric analysis of the TWA launcher for WEST using minority heating  ICRH technique - IOPscience

218.gif

Table 1 | PLOS One

EFFECT OF DESIGN CONFIGURATION ON GLOBAL STIFFNESS OF VOLUMETRIC TIMBER  MODULES

Building Life-Cycle Assessment

Global climate governance inequality unveiled through dynamic influence  assessment | npj Climate Action

A new radiometric unit of measure to characterize SWIR illumination

Push fit connection of plastic pipes

LNP™ LUBRICOMP™ COMPOUND FP003

Genome-wide CRISPR activation screen identifies JADE3 as an antiviral  activator of NF-kB–dependent IFITM3 expression - Journal of Biological  Chemistry

tutorial

Polycyclic Aromatic Hydrocarbons Burden of Meats Singed with Different Fuel  Sources from Abattoirs in Ghana and Associated Cancer Risk Assessment

Cost function parameter estimates | Download Table

Features in Backgrounds of Microscopy Images Introduce Biases in Machine  Learning Analyses - Journal of Pharmaceutical Sciences

Non-CO2 Emissions and Contrail Footprints in Business Aviation — 4AIR

Quantifying spatiotemporal dynamics and driving factors of carbon stock  with integrated model in Bohai Bay, China | Carbon Balance and Management

Queue congestion prediction for large-scale high performance computing  systems using a hidden Markov model | The Journal of Supercomputing

EPD-1054 - PLASTIC PIPE AND FITTINGS ASSOCIATION (PPFA)

Therapeutically actionable PAK4 is amplified, overexpressed and involved in  bladder cancer progression | bioRxiv

Analyzing Parallel Program Performance using HPCToolkit

Assessing the Risks Associated with the Canadian Railway System Using a  Safety Risk Model Approach - Nafiseh Esmaeeli, Fereshteh Sattari, Lianne  Lefsrud, Renato Macciotta, 2024

Application: FITS Liberator 4 | NOIRLab

Fire | September 2024 - Browse Articles

A cross-tissue transcriptome-wide association study identifies new  susceptibility genes for benign prostatic hyperplasia | Scientific Reports

Leisure-time sedentary behaviors are differentially associated with  all-cause dementia regardless of engagement in physical activity | PNAS

GWP-total of TECCO G65/3

Callaway Energy Center 2018 Annual Radioactive Effluent Release Report,  Revision 1.

ate: 44/5-- 9d

Free training - Non-Linear FEA

Table 3 | PLOS Genetics

EZH2 inhibition reduces IL-1β-mediated inflammation and increases  anabolic gene expression in human chondrocytes

Microstructure–Wear Resistance Relationship of Nitrogen-Containing  High-Speed Tool Steel, AISIM41: Non-equilibrium Solidification |  Metallography, Microstructure, and Analysis

舰炮驻退机流场研究

Set of 2 HP Compaq 179161-001 1.44MB FDD 3.5 Floppy Disk Drive

The following tables list the run ning time (geometric mean ov er three  runs) and the achiev ed (` -)distance to th e resp ectiv

Table 3 | PLOS One

Queue congestion prediction for large-scale high performance computing  systems using a hidden Markov model

Numerical Simulation of Flame Propagation in a 1kN GCH4/GO2 Pintle Rocket  Engine[v1] | Preprints.org

CRE Tubular Reactor | PDF

U.S. EPA... - U.S. EPA Northeast and Caribbean Region

A Deep Learning-Based Data Minimization Algorithm for Fast and Secure  Transfer of Big Genomic Datasets

Nov 20 2019 Control Cipro 4 ug/mL Reduction Azi 4 ug/mL RAW 2.10E+07 1.62E+06  12.96 6.40E+05 Digested 8.60E+03 5.20E+03 1.65 4.1

16 февраль 0 0
2023 copyright text.