mamesnova177.ru
mamesnova177.ru

8.02 physics ii electricity and magnetism (88) 사진

Physics II: Electricity and Magnetism | MIT Learn

Electric Potential | Lecture Note - Edubirdie

Magnetic Field of 2 current conducting wires JavaScript HTML5 Applet  Simulation Model - Open Educational Resources / Open Source Physics @  Singapore

magnetism Archives - AP Physics C

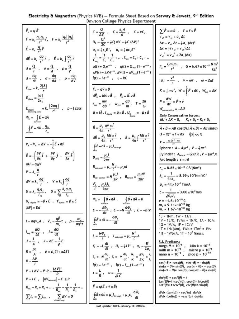
Electricity & Magnetism Formula Sheet | PDF | Physical Quantities |  Electromagnetism

Participation And performance In 8.02x Electricity And Magnetism: The First  Physics MOOC From MITx

Lecture-43=Solution of Electricity & Magnetism by B Ghosh (Ch8 Q11 to Q20  Part-24) by Laxmikanta Sir

Electric Potential | Lecture Note - Edubirdie

8.02 Pset - Problem Set Notes on Electricity and Magnetism - Studocu

Some Important MCQs of Physics: Topic: Electricity & Magnetism #magnetism # electricity #MCQs #physicsknowledge #physicsconcepts #keeppracticing Physics  for +2 level

PPT - Resources in Understanding Electromagnetism: Building a Conceptual  Bridge for Physics Learners and Teachers PowerPoint Presentation -  ID:1262242

FYBSC(Physics) SEM-II Electricity & Magnetism Ch- Magnetic Properties of  Materials Prof.D.B.Sonawane

8.02 Exam 2 Information

Spring 2010: Course Reader

AP Physics 2 Lecture: Electromagnetic Induction

Can someone help me understand what students should know about magnets and  electrical conductivity?

Electric Potential | Lecture Note - Edubirdie

Physics 2: Electricity and Magnetism Exam 2 Review Notes - Studocu

Physics 2 Electricity & Magnetism Exam 1 Review Notes - Studocu

E.M WAVES IN CONDUCTOR MEDIA.pptx

Question 1 March 31/April 1 PRS

8.02 Pset - Problem Set Notes on Electricity and Magnetism - Studocu

Electric Potential Energy | Physics Lab

Circuits Archives - AP Physics C

8.02x - Lecture 17 - Physics II: Electricity and Magnetism - Walter Lewin -  video Dailymotion

notes from a week of new classes | MIT Admissions

Electric Potential | Lecture Note - Edubirdie

Lecture-1=Electricity and magnetism for SEM II (Dirac delta function) by  Laxmikanta Sir

Electric Fields | Physics Lab

Physics 2: Electricity and Magnetism Exam 2 Review Notes - Studocu

Want to fall back in love with your subject this week? These 5 standout  lectures, across physics, psychology, English, biology and economics, are  the perfect mix of inspiring, challenging and genuinely fascinating.

Physics II: Electricity and Magnetism | MIT Learn

magnetism Archives - AP Physics C

MIT open-sources online learning - CNET

Electric Potential | Lecture Note - Edubirdie

Electricity and Magnetism Lecture Notes (PHY 2-1-1-1) - Studocu

Electric Potential of Charged Slab: MIT Physics 8.02

8.02Document #1

Biot-Savart Law Exam Practice Problem - MIT Physics 8.02

PPT - Resources in Understanding Electromagnetism: Building a Conceptual  Bridge for Physics Learners and Teachers PowerPoint Presentation -  ID:1262242

Magnetic Field of 2 current conducting wires JavaScript HTML5 Applet  Simulation Model - Open Educational Resources / Open Source Physics @  Singapore

8.02 ASE Exam Prep: Key Topics in Electrostatics and Magnetism - Studocu

OCW Physics II - Lewin | PDF | Science & Mathematics

8.02 Summary of Class 35 | Lecture Note - Edubirdie

Physics 2: Electricity and Magnetism Exam 2 Review Notes - Studocu

Physics II: Electricity and Magnetism | MIT Learn

How are electricity and magnetism related

Physics 8.02X Problem Set 9 Solutions - Electromagnetism

MIT Course Details | PDF | Quantum Mechanics | General Relativity

8.02X Electricity and Magnetism

Problem 27.9|Electric Charge| Exercise| Electricity and Magnetism |HRK,  Volume 2|University Physics

Petition · Make Mohamed Ragab Abdelhafez a lecturer for 8​.​02 - United  States · Change.org

Magnetic field direction around electric current explained

Class 12 Physics | CBSE NCERT 12 Physics Video lessons - Textbook  simplified in Videos

6.3 - Magnetic Force and Field | PPTX

Physics 8.02 E&M Course Schedule - MIT Spring 2012

How are electricity and magnetism related

Electricity and Magnetism: Electrostatics | MIT Open Learning Library

Physics II: Electricity and Magnetism | MIT Learn

MIT Physics 8.02: Electromagnetism Overview | PDF

Some Important MCQs of Physics: Topic: Electricity & Magnetism #magnetism # electricity #MCQs #physicsknowledge #physicsconcepts #keeppracticing Physics  for +2 level

GRADE 10 SCI MODULE UNIT 2 | PDF

PDF) Web Resources for Teaching Introductory Electric and Magnetic Fields:  The MIT TEAL Physics 8.02 Electricity & Magnetism Project

Some Important MCQs of Physics: Topic: Electricity & Magnetism #magnetism # electricity #MCQs #physicsknowledge #physicsconcepts #keeppracticing Physics  for +2 level

Electric Potential Energy | Physics Lab

MIT 8.02x: Electricity and Magnetism | PDF | Electromagnetism | Electricity

MITx 8.02x Electricity and Magnetism Notes | PDF | Electric Charge | Force

Magnetic Field of 2 current conducting wires JavaScript HTML5 Applet  Simulation Model - Open Educational Resources / Open Source Physics @  Singapore

MIT Physics 8.02 Exam 3 Equation Sheet | PDF | Magnetic Field | Natural  Philosophy

AP EM FR (2009 EM 3) Induced EMF for Loop in Changing Magnetic Field

Introduction To Electricity and Magnetism 8.02T | PDF | Quality Of Life |  Test (Assessment)

Physics 2 Electricity and Magnetism Final Exam Review Notes - Studocu

Problem 26.4/Exercise// Electricity and Magnetism// HRK, Volume  2/University Physics

AP Physics 2 Unit 4 Review - Magnets - Electromagnetism - Induction -  Magnetic Force & Field - Flux

8.02 Summary of Class 35 | Lecture Note - Edubirdie

Introduction

Electricity and Magnetism: Magnetic Fields and Forces | My Mooc

Physics 2 Homework: Inductance & Magnetic Fields

Electric Potential | Lecture Note - Edubirdie

Electric Fields | Physics Lab

PDF) Improved Student Performance In Electricity And Magnetism Following  Prior MAPS Instruction In Mechanics

Spring 2010: Course Reader

Electromagnetic fields:Units and constants | PPTX

Some Important MCQs of Physics: Topic: Electricity & Magnetism #magnetism # electricity #MCQs #physicsknowledge #physicsconcepts #keeppracticing Physics  for +2 level

MIT OpenCourseWare Http://Ocw - Mit.edu 8.02 Electricity and Magnetism | PDF

Magnetic Field of 2 current conducting wires JavaScript HTML5 Applet  Simulation Model - Open Educational Resources / Open Source Physics @  Singapore

Electric Potential | Lecture Note - Edubirdie

16 февраль 0 1
2023 copyright text.